탄수화물(Carbohydrate)
1) 정의
- 탄소, 수소, 산소로 구성된 화합물
- 뇌의 유일한 에너지원
- 신체에서 가장 빠르게 에너지 제공
- 1g 당 4kcal의 에너지 생산
2) 형태
ㄱ. 단당류(Monosaccharide)
- 더 이상 가수분해 되지 않는 당류
- (ex. 포도당, 과당 등)

ㄴ. 이당류(Disaccharide)
- 단당류가 2개 결합하여 생성되는 당류
- (ex. 자당, 맥아당 등)

ㄷ. 다당류(Polysaccharide)
- 단당류가 여러 개 결합하여 생성되는 당류
- (ex. 녹말, 글리코겐 등)

ㄹ. 글리코겐(당원, Glycogen)
- 동물조직에 축적되어 있는 다당류
- 수백, 수천개의 단당류 분자로 구성
- 당원분해를 통해 당원을 포도당으로 분해시켜 에너지원으로 사용함
3) 소화

4) 탄수화물 섭취 권장량
ㄱ. 운동 전
- 운동 2~4 시간 전에 섭취 권장
- 체중 Kg당 1~4.5g의 탄수화물 섭취를 권장
ㄴ. 운동 중
- 1시간 이상 지속되는 운동 중 탄수화물 섭취는 운동 수행 지속시간을 늘려줌
- 매 시간 30~60g의 탄수화물 섭취 권장
- 대부분의 스포츠음료로 섭취가능
ㄷ. 운동 후
- 운동 종료 후 30분 이내에 체중 Kg당 1.5g의 탄수화물 섭취는 글리코겐 재보충 극대화
- 운동 종료 후 2시간 동안 탄수화물 섭취 지연 시 총 근 글리코겐 합성 감소
- 근 글리코겐 완전 회복을 위해 운동 종료 후 2시간마다 체중 Kg당 1.5g의 추가 탄수화물 섭취가 권장됨
단백질(Protein)
1) 정의
- 여러 개의 펩타이드 결합으로 연결된 아미노산으로 구성
- 1g 당 4kcal의 에너지 생산
- 신체조직을 구성
2) 형태
- 필수 아미노산 : 체내에서 생성되지 않아 섭취가 필요한 아미노산
| 이소류신 |
| 류신 |
| 라이신 |
| 메티오닌 |
| 페닐알라닌 |
| 트레오닌 |
| 트립토판 |
| 발린 |
| 히스티틴 |
| 아르기닌 |
- 비필수 아미노산 : 체내에서 합성되어 굳이 섭취가 필요하지 않은 아미노산
| 알라닌 |
| 아스파라긴 |
| 아스파르트산 |
| 시스테인 |
| 글루탐산 |
| 글루타민 |
| 글리신 |
| 프롤린 |
| 세린 |
| 티로신 |
| 셀리노시스테인 |
3) 소화

4) 단백질 섭취 권장량
ㄱ. 좌식 생활자
- 체중 Kg 당 0.8g 섭취를 권장
ㄴ. 근력 운동선수
- 체중 Kg 당 1.2~1.7g 섭취를 권장
ㄷ. 지구력 운동선수
- 체중 Kg 당 1.2~1.4g 섭취를 권장
지질(Lipids)
1) 정의
- 중성지방, 인지질, 스테로를 포함하는 혼합물
- 동물성 지방과 신경조직에 많고, 근육조직에는 적음
- 1Kg 당 9kcal의 에너지 생산
2) 형태
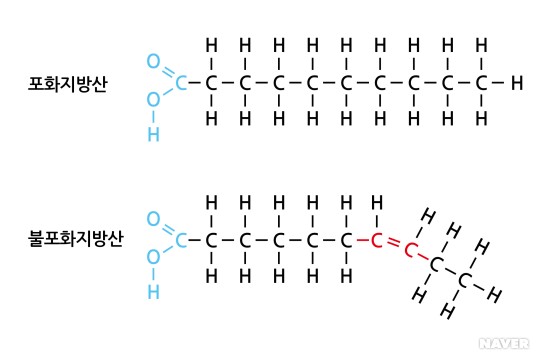
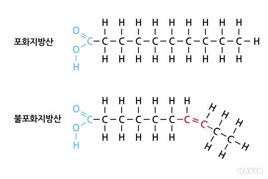
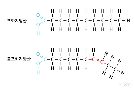
ㄱ. 지방산(Fatty acid)
- 지방을 가수 분해하면 생기는 카르복시산
- 근세포에서 에너지 생산시 사용됨
- 불포화지방산 :탄소의 이중결합을 가지고 있는 지방산으로 LDL 콜레스테롤(나쁜 콜레스테롤)을 낮추고 HDL 콜레스테롤(좋은 콜레스테롤)을 높임
- 포화지방산 : 탄소의 단일 결합을 가지고 있는 지방산으로 LDL 콜레스테롤(나쁜 콜레스테롤)을 높임

ㄴ. 중성지방(Triglyceride)
- 지방산이 신체 내에 저장되어 있는 형태
- 중성지방은 1개의 글리세롤과 3개의 지방산으로 구성
- 지방분해과정을 통해 지방산으로 분해되어 에너지원으로 사용됨
ㄷ. 인지질(Phospholipid)
- 인을 포함하는 지질
- 인지질은 1개의 인산기 머리와 2개의 지방산 꼬리로 구성
- 세포막의 구조를 형성해 신경세포의 절연체 역할
ㄹ. 스테로이드(Steroid)
- 대부분의 스테로이드는 콜레스테롤로 세포막 구성
- 에스트로겐, 프로게스테론, 테스토스테론 합성
3) 소화

4) 지방 섭취 권장량
- 하루 섭취하는 총칼로리의 20~35 %의 지방 섭취를 권장함
※ 정리 문제
1. 인체의 주요 에너지원은?
2. 인체에서 사용되는 탄수화물의 형태는?
3. 탄수화물은 인체 내에 무엇으로 저장되는가?
4. 근력 운동을 하는 운동선수의 단백질 섭취량은?
5. 인체에서 에너지로 사용되는 지질의 형태는?
6. 탄수화물, 단백질, 지방의 1g당 에너지를 발생량은?
답 ↓
1. 탄수화물, 단백질, 지방
2. 탄수화물은 포도당으로 분해되어 사용됨
3. 인체 내의 포도당은 글리코겐(당원)의 형태로 간과 근육에 저장됨
4. 체중 1Kg당 1.2g~1.7g의 섭취를 권장함
5. 지방산은 근세포가 에너지를 생산하기 위해 사용됨
6. 탄수화물과 단백질은 1g당 4kcal, 지방은 1g당 9kcal의 에너지 발생
'운동생리학' 카테고리의 다른 글
| 유산소성 ATP 생산 (0) | 2020.04.01 |
|---|---|
| ATP와 무산소성 ATP 생산 (0) | 2020.03.17 |
| 세포와 세포의 화학적 반응 (0) | 2020.03.12 |
| 항상성(Homeostasis)과 신체조절 (0) | 2020.03.09 |
| 에너지소비량 (0) | 2020.03.06 |