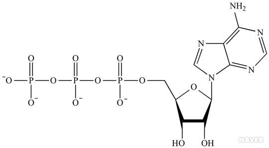
아데노신 3인산(ATP)
1) 정의
- 근수축을 위한 가장 빠른 에너지원
- 아데닌 + 리보오스 + 3인 산으로 구성

2) 에너지 생산(ATP 분해)
- ATP는 ATPase에 의해 ADP + Pi(인) + 에너지로 분해됨
- ATP의 분해로 발생한 에너지를 근수축의 에너지원으로 사용함
- 1g의 ATP 분해 시 7.3kcal의 에너지 방출

무산소성 ATP 생산
1) ATP-PC 시스템(ATP-PC system)
- 가장 빠르고 쉽게 ATP 생산하는 과정
- 5초 이내의 고강도 운동이나 운동 시작 시 에너지 공급
ㄱ. ATP 생산방법
- 크레아틴인산(PC)을 크레아틴 키나아제(CK)라는 효소로 분해해서 발생되는 에너지로 ADP를 ATP로 합성

ㄴ. ATP-PC 시스템의 조절
- 크레아틴인산(PC)의 분해는 크레아틴 키나아제(CK)의 활동에 의해 조절됨
- 크레아틴 키나아제(CK)는 ADP 농도가 높으면 활성화되고 ATP 농도가 높으면 제한됨
2) 해당 작용(Glycolysis)
- 포도당/당원(글리코겐)을 분해해 발생하는 에너지로 ADP를 ATP로 합성하는 작용
- 포도당/당원(글리코겐)의 분해의 부산물로 젖산/피루브산 생성됨
- 해당 작용은 산소 없이 ATP를 생성하며, 탄수화물(포도당/당원)을 유산소성 ATP생산 시스템의 연료로 사용하도록 분해하는 단계
- 1~3분의 과격한 운동 시 에너지 공급
ㄱ. ATP 생산과정
- 에너지 투자 단계 : 포도당을 분해할 때 2개의 ATP가 사용되고, 당원(글리코겐)을 분해할 때 1개의 ATP 사용함
- 에너지 생산단계 : 해당 작용으로 4개의 ATP를 얻을 수 있으나 포도당 분해 시 2개의 ATP를 사용했으므로 순수 생산은 ATP 2개, 당원(글리코겐) 분해 시 1개의 ATP를 사용했으므로 순수 생산은 ATP 3개

ㄷ. 산소가 충분한 해당작용
- NADH의 수소이온(H+)은 미토콘드리아로 이동해 유산소성 ATP생산(전자전달계)에 기여
- 피루브산은 유산소성 ATP 생산체계(크렙스 회로)로 들어가서 유산소성 ATP 생산 시스템의 연료가 됨

ㄹ. 산소가 충분하지 않은 해당 작용
- 피루브산은 젖산 탈수소효소(LDH)에 의해 NADH의 수소이온(H+)과 합쳐져 젖산염과 NAD를 형성
- NAD는 다시 해당 작용에 사용됨

ㅁ. 해당 작용의 조절
- 해당 작용은 인산과당 분해효소(PEK)에 의해 조절됨
- 운동 시작 후 ADP 농도가 높으면 PEK 활동이 증가해 해당작용 속도가 빨라짐
- ATP 농도가 높으면 PEK 활동이 감소해 해당작용 속도가 감소함
ㅂ. 해당 작용으로 생산된 총 ATP
- 포도당 1개당 2개의 ATP를 직접생산
- 해당 작용에 의해 생산된 2개의 NADH는 유산소성 ATP생산 시스템(전자전달계)에 들어가 5개의 ATP생산
- 총 생산된 ATP는 7개
※ 정리 문제
1. 고에너지 인산이란?
2. ATP는 어떻게 에너지 공급을 하는가?
3. 유산소성과 무산소성이라는 용어를 정의하라
4. ATP-PC 시스템에 대해 설명하라
5. 해당 작용에 대해 설명하라
답↓
1. 아데노신 3인산(ATP)으로 가장 빠른 근수축 에너지를 제공함
2. ATP는 ATPase에 의해 ADP + Pi + 에너지로 분해되고 이때 발생한 에너지가 근수축에 사용됨
3. ATP 생산에 산소가 사용되지 않으면 무산소성, ATP 생산에 산소를 사용한 산화작용이 사용되면 유산소성이라고 한다.
4. 운동을 하면 ATP농도가 감소하고 ATP의 빠른 합성이 필요하게 되는데, ATP-PC 시스템은 크레아틴인산(PC)을 크레아틴 키나아제(CK)로 분해해서 발생하는 에너지로 ADP + Pi를 ATP로 가장 빠르게 합성한다.
5. 해당 작용은 포도당/당원을 분해해 발생되는 에너지로 ADP를 ATP로 합성하는 무산소성 대사작용으로 포도당을 연료로 사용하면 2개의 ATP, 당원을 연료로 사용하면 3개의 ATP를 직접 생산한다.
해당 작용으로 발생한 피루브산은 유산소성 대사 작용인 크렙스 회로에 사용되고 다른 부산물이 2 NADH는 전자전달계를 통해 5개의 ATP를 생산함
이를 통해 봤을 때 해당 작용은 탄수화물(포도당/당원)을 유산소성 대사작용의 연료로 사용하도록 분해하는 역할을 한다고 볼 수 있다.
'운동생리학' 카테고리의 다른 글
| 운동과 산소섭취량 (4) | 2020.04.14 |
|---|---|
| 유산소성 ATP 생산 (0) | 2020.04.01 |
| 운동의 주요 에너지원 (0) | 2020.03.17 |
| 세포와 세포의 화학적 반응 (0) | 2020.03.12 |
| 항상성(Homeostasis)과 신체조절 (0) | 2020.03.09 |